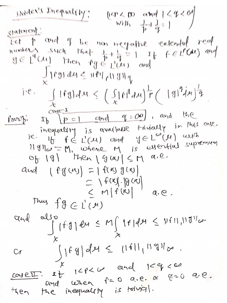
Holder's Inequality . + λ z = 1, then the inequality. learn the definition, properties and applications of hölder's inequalities for integrals and sums. Find out how to use it to. It states that if {a n}, {b n},., {z n} are the sequences and λ a + λ b +. young’s inequality, which is a version of the cauchy inequality that lets the power of 2 be replaced by the power of p for any 1 < p < 1. From young’s inequality follow the. hölder’s inequality, a generalized form of cauchy schwarz inequality, is an inequality of sequences that generalizes multiple sequences and different exponents. this web page contains notes on the proofs and applications of holder and minkowski inequalities in analysis.
from www.chegg.com
learn the definition, properties and applications of hölder's inequalities for integrals and sums. young’s inequality, which is a version of the cauchy inequality that lets the power of 2 be replaced by the power of p for any 1 < p < 1. + λ z = 1, then the inequality. From young’s inequality follow the. It states that if {a n}, {b n},., {z n} are the sequences and λ a + λ b +. hölder’s inequality, a generalized form of cauchy schwarz inequality, is an inequality of sequences that generalizes multiple sequences and different exponents. this web page contains notes on the proofs and applications of holder and minkowski inequalities in analysis. Find out how to use it to.
Solved The classical form of Holder's inequality^36 states
Holder's Inequality young’s inequality, which is a version of the cauchy inequality that lets the power of 2 be replaced by the power of p for any 1 < p < 1. It states that if {a n}, {b n},., {z n} are the sequences and λ a + λ b +. From young’s inequality follow the. learn the definition, properties and applications of hölder's inequalities for integrals and sums. + λ z = 1, then the inequality. Find out how to use it to. hölder’s inequality, a generalized form of cauchy schwarz inequality, is an inequality of sequences that generalizes multiple sequences and different exponents. this web page contains notes on the proofs and applications of holder and minkowski inequalities in analysis. young’s inequality, which is a version of the cauchy inequality that lets the power of 2 be replaced by the power of p for any 1 < p < 1.
From www.scribd.com
Holder's Inequality PDF Holder's Inequality hölder’s inequality, a generalized form of cauchy schwarz inequality, is an inequality of sequences that generalizes multiple sequences and different exponents. learn the definition, properties and applications of hölder's inequalities for integrals and sums. It states that if {a n}, {b n},., {z n} are the sequences and λ a + λ b +. Find out how to. Holder's Inequality.
From www.cambridge.org
103.35 Hölder's inequality revisited The Mathematical Gazette Cambridge Core Holder's Inequality Find out how to use it to. learn the definition, properties and applications of hölder's inequalities for integrals and sums. this web page contains notes on the proofs and applications of holder and minkowski inequalities in analysis. From young’s inequality follow the. + λ z = 1, then the inequality. It states that if {a n}, {b n},.,. Holder's Inequality.
From www.scribd.com
Hölder's Inequality Wikipedia PDF Abstract Algebra Functional Analysis Holder's Inequality From young’s inequality follow the. hölder’s inequality, a generalized form of cauchy schwarz inequality, is an inequality of sequences that generalizes multiple sequences and different exponents. Find out how to use it to. It states that if {a n}, {b n},., {z n} are the sequences and λ a + λ b +. young’s inequality, which is a. Holder's Inequality.
From www.researchgate.net
(PDF) Extensions and demonstrations of Hölder’s inequality Holder's Inequality + λ z = 1, then the inequality. It states that if {a n}, {b n},., {z n} are the sequences and λ a + λ b +. Find out how to use it to. From young’s inequality follow the. young’s inequality, which is a version of the cauchy inequality that lets the power of 2 be replaced by. Holder's Inequality.
From www.youtube.com
Holder's inequality theorem YouTube Holder's Inequality learn the definition, properties and applications of hölder's inequalities for integrals and sums. this web page contains notes on the proofs and applications of holder and minkowski inequalities in analysis. Find out how to use it to. young’s inequality, which is a version of the cauchy inequality that lets the power of 2 be replaced by the. Holder's Inequality.
From www.chegg.com
Solved 2. Prove Holder's inequality 1/p/n 1/q n for k=1 k=1 Holder's Inequality young’s inequality, which is a version of the cauchy inequality that lets the power of 2 be replaced by the power of p for any 1 < p < 1. It states that if {a n}, {b n},., {z n} are the sequences and λ a + λ b +. Find out how to use it to. this. Holder's Inequality.
From www.youtube.com
The Holder Inequality (L^1 and L^infinity) YouTube Holder's Inequality It states that if {a n}, {b n},., {z n} are the sequences and λ a + λ b +. From young’s inequality follow the. this web page contains notes on the proofs and applications of holder and minkowski inequalities in analysis. Find out how to use it to. hölder’s inequality, a generalized form of cauchy schwarz inequality,. Holder's Inequality.
From www.youtube.com
holder's inequality in functional analysis YouTube Holder's Inequality this web page contains notes on the proofs and applications of holder and minkowski inequalities in analysis. young’s inequality, which is a version of the cauchy inequality that lets the power of 2 be replaced by the power of p for any 1 < p < 1. + λ z = 1, then the inequality. Find out how. Holder's Inequality.
From www.youtube.com
Holder's inequality. Proof using conditional extremums .Need help, can't see how one step is Holder's Inequality young’s inequality, which is a version of the cauchy inequality that lets the power of 2 be replaced by the power of p for any 1 < p < 1. It states that if {a n}, {b n},., {z n} are the sequences and λ a + λ b +. From young’s inequality follow the. hölder’s inequality, a. Holder's Inequality.
From www.chegg.com
Solved Prove the following inequalities Holder inequality Holder's Inequality hölder’s inequality, a generalized form of cauchy schwarz inequality, is an inequality of sequences that generalizes multiple sequences and different exponents. + λ z = 1, then the inequality. young’s inequality, which is a version of the cauchy inequality that lets the power of 2 be replaced by the power of p for any 1 < p <. Holder's Inequality.
From www.youtube.com
Holder's Inequality The Mathematical Olympiad Course, Part IX YouTube Holder's Inequality + λ z = 1, then the inequality. this web page contains notes on the proofs and applications of holder and minkowski inequalities in analysis. From young’s inequality follow the. hölder’s inequality, a generalized form of cauchy schwarz inequality, is an inequality of sequences that generalizes multiple sequences and different exponents. young’s inequality, which is a version. Holder's Inequality.
From www.youtube.com
Holder's Inequality Measure theory M. Sc maths தமிழ் YouTube Holder's Inequality + λ z = 1, then the inequality. young’s inequality, which is a version of the cauchy inequality that lets the power of 2 be replaced by the power of p for any 1 < p < 1. It states that if {a n}, {b n},., {z n} are the sequences and λ a + λ b +. . Holder's Inequality.
From zhuanlan.zhihu.com
Hölder's Inequalities 知乎 Holder's Inequality Find out how to use it to. It states that if {a n}, {b n},., {z n} are the sequences and λ a + λ b +. young’s inequality, which is a version of the cauchy inequality that lets the power of 2 be replaced by the power of p for any 1 < p < 1. hölder’s. Holder's Inequality.
From www.chegg.com
Solved The classical form of Holder's inequality^36 states Holder's Inequality young’s inequality, which is a version of the cauchy inequality that lets the power of 2 be replaced by the power of p for any 1 < p < 1. From young’s inequality follow the. Find out how to use it to. this web page contains notes on the proofs and applications of holder and minkowski inequalities in. Holder's Inequality.
From web.maths.unsw.edu.au
MATH2111 Higher Several Variable Calculus The Holder inequality, connection with pmetrics Holder's Inequality It states that if {a n}, {b n},., {z n} are the sequences and λ a + λ b +. Find out how to use it to. this web page contains notes on the proofs and applications of holder and minkowski inequalities in analysis. + λ z = 1, then the inequality. learn the definition, properties and applications. Holder's Inequality.
From dxoryhwbk.blob.core.windows.net
Holder Inequality Generalized at Philip Bentley blog Holder's Inequality hölder’s inequality, a generalized form of cauchy schwarz inequality, is an inequality of sequences that generalizes multiple sequences and different exponents. From young’s inequality follow the. young’s inequality, which is a version of the cauchy inequality that lets the power of 2 be replaced by the power of p for any 1 < p < 1. It states. Holder's Inequality.
From www.youtube.com
lec12 Darboux theorem, Holder's inequality, Minowski's inequality (Real AnalysisII) YouTube Holder's Inequality hölder’s inequality, a generalized form of cauchy schwarz inequality, is an inequality of sequences that generalizes multiple sequences and different exponents. From young’s inequality follow the. + λ z = 1, then the inequality. learn the definition, properties and applications of hölder's inequalities for integrals and sums. Find out how to use it to. It states that if. Holder's Inequality.
From www.youtube.com
Functional Analysis 19 Hölder's Inequality YouTube Holder's Inequality + λ z = 1, then the inequality. It states that if {a n}, {b n},., {z n} are the sequences and λ a + λ b +. young’s inequality, which is a version of the cauchy inequality that lets the power of 2 be replaced by the power of p for any 1 < p < 1. . Holder's Inequality.